色知觉差异的定量表示是从明度、色调和彩度这三种颜色属性的差异来表示。明度差表示深浅的差异,色调差表示色相的差异(即偏红或偏蓝等),彩度差表示鲜艳度的差异。色差评定在工业和商业中非常重要,主要应用于生产中的配色和产品的颜色质量控制。
1931年,CIE(国际标准照明委员会)建立了一系列表示可见光谱的颜色空间标准。由于任何颜色都可以由RGB三原色混合而成,定义了CIE-RGB基色系统。但这一系统存在一个明显的缺点,计算颜色三刺激值时会出现负值,给大量的计算带来不便。由于任何一种基色系统都可以从一种系统转换到另一种系统,因此人们可以选择任何一种想要的基色系统,以避免出现负值,并且使用方便。基于此CIE又推荐了CIE-XYZ系统,这个系统采用想象的X,Y和Z三种基色,它们与可见颜色不相应。
CIE-XYZ的三基色刺激值X,Y和Z对定义颜色很有用,其缺点是使用比较复杂,而且不直观。对于一种给定的颜色,如果增加它的明度,每一种基色的光通量也需按比例增加,而且色度值仅与波长(色调)和纯度有关,与总辐射能量无关,因此在计算颜色的色度时,把X,Y和Z值相对于总的辐射能量=(X+Y+Z)进行规格化,配色方程可规格化为x+y+z=1。根据颜色坐标(x,y)可确定z,但不能仅从x和y导出三种基色刺激值X,Y和Z,还需要使用携带亮度信息的Y值,其值与XYZ中的Y刺激值一致。从而又定义了CIE-xyY颜色空间。

图1 LAB色空间坐标
XYZ系统和在它的色度图上表示的两种颜色之间的距离与颜色观察者感知的变化不一致,这个问题叫做感知均匀性(perceptual uniformity)问题。为了解决颜色空间的感知一致性问题,专家们对CIE-XYZ系统进行了非线性变换,制定了CIE-L*a*b*颜色空间。色空间坐标如图1所示CIE-L*a*b*色空间以L值表示颜色的明度、a值表示颜色的绿红值、b值表示颜色的蓝黄值。L、a、b值可通过XYZ计算得到,计算公式如下所示:
2.1
2.2
2.3
其中XiYiZi是参考样品或被测样品的三刺激值,XnYnZn是标准照明体的三刺激值。

图2 LCH色空间坐标
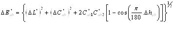
CIE-LCH颜色空间是由CIE-L*a*b*颜色空间推到转化来,它采用L表示明度值;C表示饱和度值及H表示色调角度值的柱形坐标。色空间坐标如图2所示。日常生活中人们描述颜色的三属性就是明度L、色相H与饱和度C。所以用CIE-LCH颜色空间描述颜色更符合日常生活中人们对颜色描述的习惯。
2.4
2.5
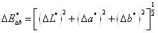
如果单纯以一组L*a*b*或Lch值来判断某个颜色并没有太大的实际意义,但是当我们对两个颜色进行比较时,我们可以通过这两个颜色的参数差值来判断出它们之间的差别。通过产品和标准色样参数值的对比我们可以轻易得知当前产品的颜色状态。通过两组L*a*b*值我们可以计算出两颜色间的色差,色差用△Eab*、△L*、△a*、△b*标定。CIELAB色差公式如下:
2.6
2.7
2.8
2.9
△E*总色差的大小,△L*大表示偏白,△L*小表示偏黑,△a*大表示偏红,△a*小表示偏绿,△b*大表示偏黄,△b*小表示偏蓝。
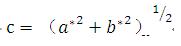
在L*,a*,b*直角坐标系中,可以导出L*,c*,h*的圆柱极坐标体系。公式如下:
2.10
2.11
2.12
2.13








