白度是颜色具有的高反射率和低饱和度(纯度)的属性。白色是一个颜色群体,处于主波长大约在470~570nm的狭长范围内,一般情况下其亮度y>70,兴奋纯度Pe<0.1。虽然白色并不是一种单一的颜色(单色),但是大多数观察者还是能够根据白色样品的分光反射率、兴奋纯度和主波长不同,按白度的差别,排列出先后顺序。对于给定的同一组白色样品,它们的这种排列顺序不仅会因为观察者的不同而不同,即使是同一观察者,如果用不同方法评价,结果也不同。另一方面,对样品白度的评价,还与观察者的喜好有关。例如,有的喜好带红光的白,有的喜好带蓝光的白,有的观察者喜好带绿光的白,观察者个人的喜好是不同的。另外,白度的评价结果还与观察条件的变化密切相关,在不同亮度或在具有不同光谱功率分布的光源下观察同一样品,都会出现不同的结果。在实际生产中,常见的白度的评价方法有两种。一种是比色法,就是把持测样品与白度已知的标准样进行比较。另一种方法就是用白度测量仪器来测量,仪器中已经储存了许多白度计算公式,测量时仪器根据使用者的设定选用相应的白度公式自动进行计算,直接输出白度值。这种方法因评价条件客观,所以评价结果客观。
一、以理想白为基础推导的白度计算公式
这一类计算公式,本质上是计算样品白(样品色)与理想白之间的色差。
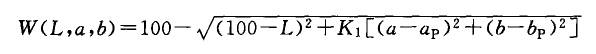
(一)亨特(Hunter)白度公式
此公式是将完全反射漫射体的白度定义为100,把样品的白度与完全反射漫射体的白度进行对比,以计算色差的方式来评价样品的白度。

式中,L,a,b是样品在Lab系统中的明度指数和色度指数,k1是常数,一般情况取值为1。
ap,bP是理想白在Lab系统中的白度指数,
一般情况下:
测量不带荧光的样品时ap=0.00,bP=0.00;
测量带有荧光的样品时ap=3.50,bP=-15.87:
(二)CIE1982白度评价公式(甘茨白度公式)
CIE1982白度评价公式是至今国际照明委员台推荐的一个评价白度的公式。这一公式是由瑞士汽巴—亮基公司的甘茨(EGanz)提出来的,它共有三个表达式。
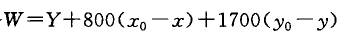
1.以蓝中带绿为喜爱白,表达式为:

2.以蓝中带红为喜爱白,表达式为:

3.以中性无彩色为喜爱白,公式为:


式中,x0,y0是理想白在2度视场下的色度坐标,Y,x,y是样品的明度指数和色度坐标;W在2度视场下的白度,其值越大,表示样品的白度越大;Tw是在2度视场下的样品色调偏移值(淡色调值,即白色略带有的某种色调值)。Tw>0,表示样品带绿,而且值越大,表示越偏绿色;Tw<0,表示样品偏红色,而且其绝对值越大,表示越偏红色。
对于完全漫反射体来说,W=100,Tw=0。
二、在实验样品反射率测定的基础上推导出的白度测定公式
1.单波段白度公式
用某一个光谱区的反射比来表示的白度公式两个。
(1)用W表示白度,G表示绿光的反射比,也就是用绿光的反射比来表示样品的白度。
(2)用R457表示相应于蓝光的反射比,即用蓝光的反射比来表示样品的白度。
国际标准化组织(ISO)在造纸工业中采用主波长为457.0nm±0.5nm,半峰宽度为44nm的蓝光测定样品的反射比,使用短波长区域的反射比及R457来表示白度,此白度叫做ISO白度或蓝光白度。
2.多波段白度公式
以特定波长范围的反射比及其系数来表示该样品的白色程度这类白度公式有两种。
(1)铝比(Taube)公式。
用蓝光反射比B、绿光反射比G别乘以一个系数后的差值来表示白度。
W=4B-3G
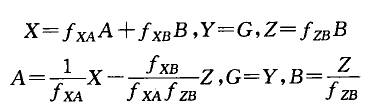
(2)采用黄度指数来表示白度,公式为:

式中的A、G、B分别对应于红色、绿色、蓝色波段的反射比,是用相应的滤光片修正后的红色、绿色、蓝色探测器检测到的反射比值。它们可以用样品颜色的三刺激值计算出来:

表1 不同照明光源在不同视场下对应的fXA、fXB、fZB数值

这两类公式,各有优点和不足。第一类是把喜爱白作为完全漫反射体而推导出来的,难以正确评价添加荧光增白剂的样品。前面所介绍的两个公式,都是采用在公式中引进经验系数的方法,来计算添加荧光增白剂的样品白度的,所以计算结果也是近似的。至于第二类公式,如果样品偏蓝越严重,所得出的白度数值就越大,造成与实际情况不符,但是,很适合于计算添加荧光增白剂的样品的白度。
精密色差仪系列产品(CS-200、CS-210、CS-220)能显示亨特(Hunter)白度值和甘茨白度值。
分光测色仪系列产品(CS-580、CS-600、CS-610、CS-660)能选择所有的白度计算公式,显示各种白度公式评价的白度值信息。








